A Method to Estimate the Error of Adiabatic Temperature Rise Testing Device

All published articles of this journal are available on ScienceDirect.

RESEARCH ARTICLE

A Method to Estimate the Error of Adiabatic Temperature Rise Testing Device

The Open Construction and Building Technology Journal 31 Oct 2016 RESEARCH ARTICLE DOI: 10.2174/1874836801610010538

Abstract

The surface temperature of a testing sample should be immediately adjusted to equal to the central point when testing adiabatic temperature rise of concrete. However, due to the insufficient tracking accuracy, there are temperature differences between the environment and the central point temperature. In this paper, the heat loss of the sample is deduced based on thermal balance equation and an assumption that the heat passing through cylindrical surface temperature and through the two ends of the sample do not affect each other, and the total heat losses of the sample can be calculated by adding the heat passing through cylindrical surface and the heat passing through two ends. Then, according to the relationship between heat and temperature, the maximum error caused by the adiabatic temperature rise testing device was deduced, and the proposed measurement accuracy of the adiabatic temperature rise testing device was presented. According to the results of the verification case, a corrective constant should be used to modify the deduction.

Keywords: Adiabatic temperature rise, Concrete, Finite element analysis, Maximum error, Temperature control, Tracking accuracy.

1. INTRODUCTION

Thermal crack is one of the most common problems of concrete structures, and hydration behaviors of the concrete should be taken into consideration when calculating concrete temperature.

The adiabatic temperature rise of ordinary Portland cement can be precisely tested by adiabatic temperature rise testing devices [1]. But the adiabatic temperature rise of moderate heat concrete mixed with fly ash is hard to be tested. Fly ash content in concrete dams has been greatly increased during the recent years [2]. Low heat concrete is also more widely used because when compared with the ordinary Portland cement, the moderate heat and low heat cement contains more dicalcium silicate which has a low calorific value. Furthermore, moderate and low heat cement contains fewer elements with high calorific values such as tricalcium silicate. However, the heat generated during the hydration process of dicalcium silicate is relatively slow, and research evidence has shown that fly ash hydration still exists long after concrete placement. Hence, the generation of heat during hydration of moderate or low heat concrete mixed with fly ash is an ongoing process, contributing to cracking in concrete dams due to the substantial interior temperature rise after water cooling the material [3-6].

The later-age adiabatic temperature rise is a key component for obtaining proper concrete temperature control measures, but having the equipment to accurately measure later-age concrete adiabatic temperature rise is limited in current practice. Methodologies and measuring devices alike intended to improve the measurement accuracy of concrete adiabatic temperature rise are in development. For example, Rlem proposed the adiabatic approximate device with limited heat generation for measuring the adiabatic temperature rise of concrete, which is adjusted by a reasonable margin. Many previous researchers have improved several aspects of the adiabatic temperature rise testing device [7-11]. Some researchers have proposed various hydration heat models [12-17]. Due to the fact that the models are dependent on accurate adiabatic temperature rise testing data, only exothermic characters reflected in early-age concrete are comparatively reliable. Nowadays, due to insufficient tracking accuracy, the temperature difference between environment and the central point of the specimen is limited to 0.01 °C. The accuracy is sufficient for early-age concrete, but inadequate for distinguishing the long term temperature variations of moderate or low heat concrete mixed with fly ash.

The accuracy of the adiabatic temperature rise testing device may be hard to be improved in a short time. But if the Error of adiabatic temperature rise testing Device can be calculated, the current technical obstacles would be diminished. To achieve this purpose, the maximum error caused by the adiabatic temperature rise testing device was analyzed, and the accuracy was verified using the finite element analysis.

2. METHODS AND ANALYSES

When testing the adiabatic temperature rise of a concrete sample, the surrounding temperature of environment is controlled to equal the core temperature of the sample. R. Springenschmid described the development of adiabatic temperature rise testing devices in detail [18].

There are several kinds of adiabatic temperature rise testing devices. For some advanced devices, when testing a sample without adiabatic temperature rise, the core temperature of the sample can keep steady for several days or even several weeks. Theoretically, when testing a sample with adiabatic temperature rise, the temperature of surrounding environment should equal to the core temperature of the sample in real time. However, due to the insufficient tracking accuracy, only when there is a temperature difference between center of the sample and the surrounding environment, the temperature of surrounding environment is adjusted to the core temperature of the sample by the testing device. Thus, due to insufficient tracking accuracy, there are some temperature differences between core temperature of the specimen and the surrounding environment. When calculating the peak temperature of the mass concrete, it is important to estimate the error that occurs due to the differences.

There are several kinds of adiabatic temperature rise testing devices. For the advanced devices, the insufficient tracking accuracy should be the only reason leading to testing error. And the tracking accuracy varies greatly for different kinds of testing device. Taken the testing device (developed by Beijing Chengxin-Haian technology development center, Type: HR-2) shown in Fig. (1) for example, the temperature difference between environment and the central point of the specimen is limited to 0.01 °C.

Fig. (1). Adiabatic temperature testing device.

2.1. Calculating the Error Factor of the Adiabatic Temperature Rise Testing Device

The concrete specimen covered with a steel sleeve was placed into the testing device. There are two major gauges inside the device; point #1 measures the temperature at the core of the cement; and point #2 measures the temperature of the environment (Fig. (2), point #2 is located outside of the sleeve). As we know, there are some temperature differences between the surface of an object and the air around it. However, for a qualified device, some measures should be done to make sure that there are no temperature differences between #2 point and the surface of the sample. It can be achieved by fixing a high-power fan in the device and strictly control distance between surface of the sample and strictly control the distance between #2 point and the surface of the sample.

Fig. (2). Concrete specimen for testing and locations for measuring.

To ensure that the concrete specimen is analyzed in the correct adiabatic conditions, the following equation should be satisfied:

(1)

where T1 and T2 represent the temperature of point #1 and point #2 (unit: °C).

If Eq. 1 is true, temperature readings at the measuring point should be in accordance with the core temperature changes. However, due to the error in measurement, this equation corrects for the difference.

(2)

where ∆T0 is the maximum temperature difference between the core and the measuring point (unit: °C).

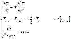
2.2. Heat Loss Analysis

As shown in Fig. (2a), the heat of the concrete specimen passes through the cylindrical surface, upper and lower faces of the specimen. For a device with a tracing error of ∆T0 (shown in Fig. 3), the testing time can be divided into three phases. That is, the temperature difference between the surface and the central point increases gradually when t is less than t0, then it remains unchanged during t0 and t1 and it decreases gradually when t is greater than t1. For a common adiabatic temperature rise testing sample, the size of the sample is R=0.15m (R is radius of cylinder) and D=0.2m (D is half of height). Deviation of the central temperature drop exists only in a short period for a sample with such a small size. The numerical case of this paper shows that the deviation of central temperature drop exists within 0.5day and the effect can be neglected.

Fig. (3). The temperature development of the central point and the surface of a specimen.

2.2.1. Temperature Loses Through Cylindrical Surface

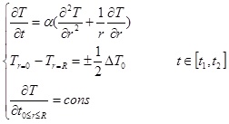
Suppose two ends of the sample are under an adiabatic condition, when the temperature difference between the central point and the cylindrical surface of the specimen is ∆T0/2. Then, the temperature decline of section (z=0) along with time can be expressed by the following equation:

(3)

where T is the temperature decline of a testing specimen (unit: °C), r is the distance to the central point of the section, R is the radius of the cylindrical surface of the specimen (unit: m)., cons is a constant (solvable), t is the testing time (unit: s), and is the thermal diffusivity (unit: m2/s).

Solving Eq. 3, then:

(4)

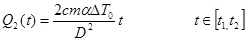
2.2.2. Temperature Loses Through Two Ends of the Sample

Suppose the cylindrical surface is under adiabatic condition, when the temperature difference between two ends is ∆T0/2. Then, the temperature decline of the sample on the axle wire (x=0 and y=0) can be expressed:

(5)

where D is half of the cylinder height (unit: m), cons is a constant (solvable), t is the testing time, and is the thermal diffusivity (unit: m2/s).

After solving Eq. 5, then:

(6)

2.2.3. Testing Error of Testing Specimen

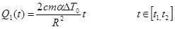
When there is a temperature difference between the central point and the surface of a sample, the reason for the temperature drop of the central point is that heat transfer from the sample to the environment around it through the surface. And in this paper, the testing error of the adiabatic testing device is deduced by heat balance:

It is assumed that the heat passing through cylindrical surface and through two ends of the sample do not affect each other, and the total heat losses of the sample can be calculated by adding the heat passing through cylindrical surface and the heat passing through two ends. Under a quasi-adiabatic circumstance, based on Eq. 4 and relationship between heat and temperature, the heat passing through cylindrical surface of the sample can be expressed by:

(7)

where c is specific heat (unit: kJ/(kg·°C)); m is weight (unit: kg).

And, the heat passing through two ends of the sample can be expressed by:

(8)

Then, the total heat losses can be expressed by:

(9)

Thus, the relationship between temperature drop and time can be expressed by:

(10)

By combining Eqs. (7-10), temperature decline can be expressed by:

(11)

2.2.4. Modification of the Deduction

Eq. 3 and Eq. 4 are not suitable for the section (z = d,d ≠ 0) and the axle wire (r ≠ 0). However, in a qualified adiabatic temperature rise testing device, the sample should be under a boundary condition very close to the adiabatic boundary condition, and the testing error of the adiabatic temperature rise testing device should be close to Eq. 11. Thus, Eq. 11 should be modified by a corrective constant.

(12)

where k is a corrective constant.

The value of corrective constant is determined by the following FEM simulation case of this paper.

2.3. FEM Simulation Case

The FEM simulation case is used to get the corrective constant in Eq. 12 and confirm the value of t0 . For a common adiabatic temperature rise testing sample, the size of the sample is R=0.15m (R is radius of cylinder) and D=0.2m (D is half of height). In this case, the initial temperature of this testing sample is assumed as 20 °C, and the concrete thermal diffusivity is 0.096 m2/day. The tracing error of the device is assumed to be 0.094 °C.

2.3.1. Influence of the Time Step

The mesh for the finite element method is shown in Fig. (4) (1935 nodes and 1792 elements). The size of mesh is 0.01~0.02m and the time steps are 0.000625 day, 0.00125 day 0.0025day, 0.005day, 0.03day and 0.08day separately. The calculation results are shown in Figs. (5 and 6).

Fig. (4). Finite element mesh.
Fig. (5). Comparison of calculation value using different time steps.

According to the results Fig. (5), only when the time step is less than 0.00125day, the precision of the calculation results can be guaranteed. And according to Figs. (5 and 6), the parameter t1 in Fig. (3) is a relatively small value which can be neglected.

Fig. (6). Temperature drop within 0.04 day after testing.

2.3.2. Influence of the Mesh Size

In this case, the calculation time step is 0.00125day.When the size of the mesh is halved (shown in Fig. 7), with 15903 nodes and 15360 elements), the calculation values (shown in Fig. 8) almost remain the same, which means that the size of the mesh is small enough to get a precise value.

Fig. (7). Refined finite element mesh.
Fig. (8). Comparison of the results using different node numbers.

2.3.3. Verification of the Deduction

A comparison between calculation values by Eq. 11 and by finite element is shown in Fig. (9). According to the results (Fig. 9), there are differences between the deduction and numerical simulation values, and a corrective constant should be applied to modify the deduction. According to Fig. (9), the ratio of the results calculated by Eq. 11 and by FEM is 0.725. Thus, the value of corrective constant k in Eq. 12 is 1.39.

Fig. (9). Comparison between calculated value by Eq.11 and finite element.

CONCLUSION

The surface temperature of a testing sample should be immediately adjusted to equal to the central point when testing adiabatic temperature rise of concrete. However, due to the insufficient tracking accuracy, there are temperature differences between the environment and the central point temperature. This problem has been mentioned in several previous researches. However, the error of the device has not been precisely calculated yet. In this paper, the maximum error caused by the adiabatic temperature rise testing device was analyzed and verified using the finite element analysis. The achievements of the paper can be used in calculation temperature field of the mass concrete and testing adiabatic temperature rise of the concrete:

  1. The achievement of this paper (Eq. 12) can be directly used to correct the testing data. Thus, it can be used in FEM to more precisely predict the maximum temperature and temperature stress of the mass concrete.
  2. With this achievement, the testing time of adiabatic temperature rise can be precisely calculated, according to the accuracy of the device. The fee of the testing can be reduced.
  3. With this achievement, the accuracy of adiabatic temperature rise can be calculated. Thus, a device can be evaluated to make sure whether the device meets accuracy requirements.
  4. The calculation of this paper shows that the insufficient tracking accuracy can lead to a testing error which cannot be neglected. The three-dimension analytical solution may be the ideal solution for this problem. However, the three-dimension analytical solution is difficult to be deduced. Thus, a simplified analytical solution is used to estimate the testing error in this paper. However, the numerical verification case shows that there are differences between deduction and numerical simulation values, and a corrective constant should be used to modify the deduction. Thus, a more precise model is worth studying in the future.

CONFLICT OF INTEREST

The authors confirm that this article content has no conflict of interest.

ACKNOWLEDGEMENTS

This work was supported by the CRSRI Open Research Program (Nos. CKWV2016385/KY) and the Natural Science Foundation of China (5140090226, 51209219)

REFERENCES

1
Zhang GX, Liu Y, Xie M. Hydration heat combined function model of high fly-ash concrete and its application in engineering. J Hydroelectric Eng 2012; 31(4): 201-6.
2
Langan BW, Weng K, Ward MA. Effect of silica fume and fly ash on heat of hydration of portland cement. Cement Concr Res 2002; 32(7): 1045-51.
3
Zhu ZY, Chen WM, Xie ZQ, Qiang S. A new method solving the temperature field of concrete around cooling pipes. Comput Concr 2013; 11(5): 441-62.
4
Zhu ZY, Chen W, Xie Z, Zhang G. A study on relationship between the heat release of later-age concrete and the concrete strength development. Open Constr Build Technol J 2016; 10: 363-8.
5
Liu MZ, Qiang S, Zhu ZY. Study on crack mechanism for concrete bedding cushion on rock. Adv Mat Res 2011; 163-167: 1291-5.
6
Zhu ZY, Qiang S, Chen WM, Zheng Z. Determination of parameters for hydration exothermic model considering concrete temperature duration by genetic algorithm Trans CSAE 2013; 29(1): 86-92.2013;
7
Bentz DP, et al. Prediction of adiabatic temperature rise in conventional and high-Performance concretes using a 3-D microstructural model. Cement Concr Res 1998; 28(2): 285-97.
8
Sivasundaram V, Malhotra VM. Properties of concrete incorporating low quantity of cement and high volumes of ground granulated slag. ACI Mater J 1992; 89(6): 554-63.
9
Pinto R, Hover K. Superplasticizer and silica fume addition effects on heat of hydration of mortar mixtures with low water-cementitious materials ratio. ACI Mater J 1999; 96(5): 600-4.
10
Suzuki Y, et al. Applicability of adiabatic temperature rise for estimating temperature rise in concrete structures. Trans Jpn Concr Inst 1985; (7): 49-56.
11
Mani AC. C,T, Tam and S.L Lee,”Influence of high early temperatures on properties of PFA concrete. Cement Concr Compos 1990; 12(2): 109-15.
12
Zhu ZY, Qiang S, Chen WM. A model for temperature influence on concrete hydration exothermic rate (part one: theory and experiment). J Wuhan Univ Technol 2014; 29(3): 540-5. [Materials Science Edition].
13
Emborg M. Thermal Stresses in Concrete Structures at Early Ages. Sweden: Lule University of Technology 1989.
14
Rasmussen RO, Mcculough BF, Zolinger DG. A foundation for high performance bounded concrete overlay design and construction guidelines. In: Proceedings of 6th International Conference on Concrete Pavements. 1997; pp. 209-30.
15
Cervera M, Faria J, Oliver J, Pratoa T. Numerical modeling of concrete curing regarding hydration and temperature phenomena. Comput Struct 2002; 80: 1511-21.
16
Suzuki Y, Harada S, Maekawa K, Tsuji Y. Evaluation of adiabatic temperature rise of concrete measured with the new testing apparatus. Doboku Gakkai Rombun Hokokushu 1988; 9: 109-17.
17
De Schutter G. Finite element simulation of thermal cracking in massive hardening concrete elements using degree of hydration based material laws. Comput Struct 2002; 80: 2035-42.
18
Springenschmid R. Prevention of Thermal Cracking in Concrete at Early Ages. Taylor & Francis: Routledge 1998.