Game Analysis on Urban Rail Transit Project Under Governmental Investment Regulation

All published articles of this journal are available on ScienceDirect.

RESEARCH ARTICLE

Game Analysis on Urban Rail Transit Project Under Governmental Investment Regulation

The Open Construction and Building Technology Journal 23 Jun 2016 RESEARCH ARTICLE DOI: 10.2174/1874836801610010369

Abstract

Urban rail transit is the construction project under the planning and huge investment of the government. How to effectively conduct investment regulation and control becomes the core question that the government departments are concerned about. In this paper, the relations among government, owner and contractor are studied and the static and dynamic game model is built for behaviors among each subject from the perspective of governmental investment regulation through game theory. Game analysis result shows: (1) the lower the governmental regulation cost the heavier the government's punishment for the owner due to its fail in due diligence and the more the owner's possibility of strict scrutiny; (2) the higher the owner's examination the less willing the owner to conduct narrow examination and the more contractor’s possibility to choose fraudulent conducts; (3) In case of higher income of owner and contractor under their collusion strategy and lower cost of governmental regulation, the owner and contractor can adopt collusion strategy while the government can adopt regulatory strategy. In case of lower income of owner and contractor under their collusion strategy and higher cost of governmental regulation, the owner and contractor should not adopt collusion strategy while the government should adopt regulatory strategy. The research result provides theoretical basis for the government to formulate relevant policies for investment regulation of urban rail transit project.

Keywords: Evolutionary game, Game analysis, Guangzhou metro construction, Investment regulation, Regulation cost, Urban rail transit project.

1. INTRODUCTION

Along with the accelerated economic growth and larger governmental investment project scale, urban rail transit has already become the metropolis’s infrastructure project under emphasis-based planning and huge investment construction. The latest data of China rail transit network shows 39 cities in Chinese mainland area have been approved to construct rail transit by the end of Jun. 2015, of which 22 cities’ 106 lines have been under operation with total mileage of 3 thousand km. Simultaneously, over one hundred lines are under construction [1]. By taking Guangzhou metro construction for example, there are 10 lines under construction with total mileage of 263km and total investment of about 143.7 billion Yuan [2].

For urban rail transit project features long construction cycle, high construction risk and large investment scale, etc. As for the investment mode of rail transit project in each metropolis, the local finance accounts for a large proportion while the governmental administrative departments act as the project investor to build metro construction company or business division and act as the agent in full charge of construction management. For example, the metropolises such as Beijing, Tianjin and Shanghai build metro construction companies in charge of construction management. However, In Guangzhou and Shenzhen, the construction head office of the group company acts as the owner in charge of taking project management responsibilities such as safety, schedule, quality and investment control. Though all metropolises have positively attempted to introduce new financing modes such as BT and PPP to attract social capitals to participate in urban rail transit construction, the governmental investment takes the leading role and the metro construction company or construction business division still acts the agent. For example, from the paid-in investment of Guangzhou metro construction from 2004 to 2014, it could be seen that the governmental investment proportion is the largest among multiple financing channels, for accounting for 40%, as shown in Fig. (1).

Fig. (1).

Paid-in investment of guangzhou metro construction from 2004 to 2014 (Unit: 100,000,000 Yuan,1US$=6.512 Yuan in 2016) [2].

By contrast of other government investment construction projects, the cost for urban real transit project is higher. As for budget estimate factor of Guangzhou metro per every kilometer, the budget of line 5 is 473 million Yuan, line 6 phase I 501 million Yuan and line 6 phase II 599 million Yuan. Along with the increasing cost of manpower, material, machine and land acquisition & lease, the difficulty and pressure of controlling new line construction investment will be more severe. As the investor, how to make full use of financial fund and increase use ratio of construction fund to get maximum economic and social benefits from the project at the optimal investment scale becomes the core problem that the governmental administrative department focuses on and studies. Urban rail transit project investment regulation involves in many governmental departments. For example, it involves in NDRC, Ministry of Finance, Department of Construction and Auditing Bureau. Due to the difference in functions of different departments, there is also difference in emphasis on regulation. Sometimes, for the same item, it is repeatedly regulated or there are not unified standards. If different departments repeatedly examine and approve one item, there will be heavier burden on owner to a certain extent and the governmental regulation efficiency will be reduced. It is worth studying how to rationally grasp the “efforts” to conduct regulation, formulate scientific investment decision and management system, realize game equilibrium among government, owner and contractor and eventually realize win-win. By combining the characteristics of urban rail transit project, the game model for interested parties of governmental investment regulation game system is built and the game equilibrium point is deduced in this paper. Besides, the corresponding suggestions are put forward for problems existing in governmental investment regulation system. The research conclusion will provide certain reference value for the governmental investment regulation of urban rail transit project.

2. LITERATURE REVIEW

Currently there are many scholars studying the decisions and behaviors of participants of governmental investment construction project through game theory.

  1. Game analysis of “collusion”, it mainly analyzes the collusive behaviors of competent department, construction agent and contractor involved in the construction agency project, builds game model for the government, construction agent and contractor, obtains the key policy variables for reducing the occurrence rate of collusive behaviors, puts forward corresponding measures and policy suggestions, like strengthening the punishment for the parties conduct collusion behaviors, improve governmental regulation quality, build reputation measurement mechanism, reward & punishment mechanism, dynamic subsidy mechanism and evaluation system of intermediaries, etc. (Lambert-mogiliansky, 2006; Y.H. Yang, 2006; C.Y. Zhang 2011; G.D. Wu, 2013; Li et al., 2015) [3-7].
  2. Game analysis of “rent-seeking”. It mainly builds game model of behavior rent-seeking regulation among each project party, affirms the corresponding disclosing and regulation cost brought to regulation institution and social public by the rent-seeking behavior and proposes countermeasures for solving power rent-seeking behaviors according to Nash equilibrium solution, like building effective democratic regulation institution and power restrain mechanism [8-11].
  3. Game analysis of “regulation”. Scholars like Le et al. (2013) built continuous strategy game for the regulator and owner [12]. They assumed that post-mortem regulation system and owner’s lifelong responsibility could optimize equilibrium solution and both parties’ benefits and reduce the owner’s “tunneling behavior”. After intermediary’s participation in governmental investment audit, there exists a game relation that is closely associated, mutually restricted and struggling against with each other. Based on “principal -agent” game model, the scholars such as Yuan et al. (2015) analyzed optimal regulation strategies for social intermediary and governmental auditing body according to different risk appetites [2].

In addition, as for the governmental regulation behavior under the public-private partnership model of urban infrastructure, scholars such as Li et al. (2015) further analyzed the game relations among government, intermediary and private enterprise under the regulation mechanism of public-private partnership model through analysis on game over KMRW reputation of government and enterprise, and rule-breaking reporting behavior of intermediary [7]. Shubik. M. (1982) built game model for cooperation rules and benefits of governmental department and private enterprise through “stakeholder theory” and hypothesized that the government should make decision from the perspective of public interests and private enterprise should do it from the perspective of its benefits and risks [13].

To conclude, the study on decision and behaviors of participants of governmental investment construction projects is mainly focused on rent-seeking and collusion of owner, contractor and regulation unit. However, the perspective of governmental investment regulation is less studied. Therefore, based on the studies conducted by our predecessors, the static and dynamic game models for government, owner and contractor are built and the game equilibrium sate of urban rail transit project under the governmental investment regulation is analyzed according to the urban rail transit project under the governmental investment regulation.

3. ANALYSIS ON GAME MODE OF GOVERNMENTAL INVESTMENT REGULATION

3.1. Stakeholders of Game Model

Game system of urban rail transit project under the governmental investment regulation involves many stakeholders, including government (investor), owner (agent) and contractor.

3.1.1. Investor

Namely the government is the core subject of urban rail transit construction investment management aimed at gaining maximum economic and social benefits at the optimal investment scale, and in charge of formulating investment decisions and management systems and macroscopically regulating the behaviors of the owner and contractor.

3.1.2. Agent

Synonymous with the owner, construction agent and unit, the subject of urban rail transit project construction management. As entrusted by the government, the agent effectively supervises the contractors with professional techniques and management experience, is in full charge of realization of the management goals of urban rail transit project, accepts the monitoring of the governmental department and reports responsibilities of engineering safety, quality, schedule and investment to the government anytime.

3.1.3. Contractor

Indicating the actual construction party of the urban rail transit project selected by the owner through bidding and other ways to be aimed at maximizing the profits. It’s held responsible for executing the contraction contract, and obtaining the amount herein. It has no direct economic relationship with the ultimate benefit of the engineering. Its main gal is to fulfill responsibilities herein, reduce cost consumption to strive for greater benefits. The contractor gives more considerations into its cost optimization but fewer considerations into the overall long-term benefits of the project.

During construction of urban rail transit project, it is necessary to integrate a lot of materials, equipments, manpower as well as other resources, be strict with the construction period, quality and safety to effectively conduct investment management and smoothly fulfill the construction goal. For all participants, only be defining rights, responsibilities and benefits can the enthusiasm of each party be mobilized to facilitate achieving the anticipated goal of the project. The relationship among each stakeholder is essentially a game relation seeking after maximum of their respective effectiveness. Next, the game relation will be studied as below.

3.2. Static Game between Government, Owner and Contractor

3.2.1. Parameter Hypothesis and Game Model Building

During the engineering construction, the contract may perform fraudulent conducts such as false reporting of engineering quantity and irrational engineering change, etc. Hypothesizing the probability of the occurrence of “fraud” is α and that of “no fraud” is (1 – α). Supposing the extraneous income that the contractor gains through fraudulent conducts is R and no punishment for fraud is F. Assuming the loss brought to the owner due to the fraudulent conducts is L (indicates the reputation loss of owner) and the social and economic loss is G, as shown in Fig. (2).

Fig. (2).

Game among three parties of urban rail transit project under governmental investment regulation.

The owner is entrusted by the government to overall control the engineering quantity, safety, schedule and investment. While striving for fulfilling the engineering goal, the owner also should give considerations into the management cost. Therefore, there are two situations for contractor’s fraudulent conducts such as “examination” (probability: β) and “fail in examination” (probability: (1 – β)). For strict examination, it is necessary to pay cost C. The punishment for owner’s fail in strict examination of contractor’s fraudulent conducts by the government is P.

The government conducts macroscopic supervision of each party’s construction behaviors. Supposing the probability for conducting supervision behaviors is γ. Indicate the cost for the government to supervise owner with T.

R1, R2 and R3 respectively indicate the benefits of three parties under circumstance of contractor’s no fraud, owner’s fail in strict supervision and government’s fail in supervision.

According to the above parameters, the game income matrix of the three parties is as below, as shown in Table 1.

Table 1.

Game matrix among government, owner and contractor.

Circumstance 1 (R1, R2, R3)
Circumstance 2 (R1 + R, R2, -L, R3 -G)
Circumstance 3 (R1, R2 -L, R3)
Circumstance 4 (R1 -F, R2 -C, R3 + F)
Circumstance 5 (R1, R2, R3 -T)
Circumstance 6 (R1 -F, R2, -P, R3 -T + F + P)
Circumstance 7 (R1, R2 -C, R3 -T)
Circumstance 8 (R1 -F, R2 -C, R3 -T + F)

3.2.2. Analysis on Static Game Model

(1) When the probability for the contractor to choose fraudulent conducts is α while that for owner to conduct strict examination is β, when U1 and U2 are used to respectively indicate the expected revenue that the government earns from supervision and non-supervision, there will be:

U1 = (1 - β) × [(1 - α) × R3 + α) × (R3 - G)] + β × [(1 - α) × R3 + α × (R3 + F)] = R3 - αG + αβ × (G + F)

U2 = (1 - β) × [(1 - α) × (R3 - T) + α × (R3 - T + F + P)] + β × [(1 - α) × (R3 - T) + α × (R3 - T + F)] = R3 - T + α × (P + F) - αβP

If U1 = U2, it can be obtained that

(1)

It can be known from the formula (1) that when the probability for the owner to conduct strict examination is , the effect of supervision and non-supervision is the same, namely the Nash equilibrium state of the governmental mixed strategy.

(2) When the probability of the governmental supervision is γ, and that of contractor’s fraudulent conduct is α. If are used to respectively indicate the expected revenue that the owner earns from strict and non-strict examination, there will be:

U3 = (1 - γ;) × [(1 - α) × R2 + α × (R2 - L)] + γ; × R2 + α × (R2 - P)] = R2 - αL + αγ; × (L - P)

U4 = (1 - γ;) × [(1 - α) × (R2 - C) + α × (R2 - C)] + γ; × [(1 - α) × (R2 - C) + α × (R2 - C)] = R2 - C

If U3 = U, it can be obtained that

(2)

It can be known from the formula (2) that when the probability of the contractor’s fraud is , strict examination is the optimal strategy of the owner. Contrarily, non strict examination is its optimal strategy. When , the effect of strict and non-strict examination is the same, namely the Nash equilibrium state of owner’s mixed strategy.

(3) When the probability of governmental supervision is γ,and that for the owner to conduct strict examination is β, U5 and U6 are used to respectively indicate the expected revenue of the contractor earns from conducting fraud and not doing, there will be:

U5 = (1 - γ;) × [(1 - β) × R1 + β × R1] + γ; × [(1 - β) × R1 + β × R1] = R1

U6 = (1 - γ;) × [(1 - β) × (R1 + R) + β × (R1 - F)] + γ; × [(1 - β) × (R1 - F) + α × (R1 - F)] = R1 + R - (β + γ; + βγ;) × (R + F)

If U5 = U6, it can be known that

(3)

It can be known from the formula (3) that when the probability of the governmental supervision is , non fraud is the optimal strategy for the contractor; contrarily, fraud is its optimal strategy. When , the effect of fraud and non-fraud is the same, namely the Nash equilibrium state of contractor’s mixed strategy.

3.3. Analysis on Dynamic Game Among Government, Owner and Contractor

3.3.1. Hypothesis & Construction of Model

Static game can describe the game pattern and equilibrium state of certain point. However, during implementation of urban rail transit project, the game relation among the government, owner and contractor will continue until the termination of the contract. For the contract term of urban rail transit project is long, the owner and contractor shall need to communicate and cooperate with each other. However, during the long-term communications, perhaps one side may send invitation of collusion to the other side. Therefore, the owner and contractor can easily reach certain agreement, thus feeling relaxed about the examination and supervision of the contractor. As for China’s urban rail transit industry, there is no perfect market reputation mechanism. The contractor fails to reveal the contractor’s collusion invitation actively. Additionally, during construction of urban rail transit project, even if the government is not satisfied with the owner’s work, it is unwilling to take its agent namely the owner to the court at the cost of damage detention of high cost and expected revenue under the circumstance of no material engineering quality and safety accidents. Therefore, during governmental investment and construction of urban rail transit project, the owner and contractor can choose collusion or non-collusion strategy simultaneously. There are two choices of supervision or non-supervision for the government to choose. As for the revenue matrix of government, owner and contractor, please refer to the Table 2.

  1. Supposing the revenue that the owner gains from normally strictly examining the contractor is the contract amount Rj of the owner under consignation of the government minuses the supervision cost, namely (RjCj)
  2. For contractor, supposing the contract price Tc of its bidding is and the construction cost under the normal operation Cc, its actual profits will be (TcCc)
  3. In case that the owner colludes with the contractor, the owner will be relaxed about examining and supervising the contractor’s operation and certain supervision cost can be reduced correspondingly, supposing it is Fj; then the contractor will reduce the engineering quantity through measures such as taking shoddy goods for good ones and cheating in work and cutting down materials, supposing the savable construction cost is C 0:
  4. In case that the owner colludes with the contractor, the loss caused o the government is R 0, the collusion behavior of the agent is supervised, supposing the governmental supervision cost is Cy., When the owner colludes with the contractor under the governmental supervision, the governmental supervision is very effective. So long as there are collusion behaviors, the government could find out and punish the owner and contractor, supposing it is γ and μ times of its normal revenue, namely λ(Rj -Cj) and μ(Tc -Cc);
Table 2.

Revenue matrix of trilateral game.

  Supervision Non-supervision
Owner & Contractor Collusion λ(Rj -Cj) +μ(Tc -Cc)-Cy -R 0 -R 0
(1 - λ) (Rj -Cj) + (1 - μ) (Tc -Cc) + Fj + C Rj -Cj + Tc -Cc + Fj + C 0
Non-collusion -Cy 0
Rj -Cj + Tc -Cc Rj -Cj + Tc -Cc

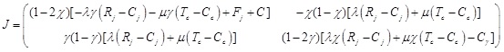
According to the game relation showed in the Table 3, the replicator dynamics equation of contractor’s “non-fraud” behavior could be built. Supposing the proportion of contractor’s “non-fraud” is χ and 1 - χ and that of the governmental supervision and non-supervision is γ and 1 – γ, then expected revenue U1, U2and average expected revenue of Ū that the government earns from supervision and non-supervision is respectively:

U1 = χ[λ(Rj - Cj) + μ(Tc - Cc) - Ro] - Cλ

U2 = -χRo

Ū = χγ[λ(Rj - Cj) + μ(Tc - Cc)] - γCy] - λRo

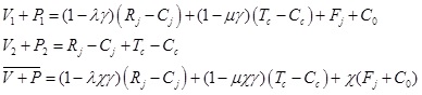
Similarly, the expected revenue V1 + P1 and V2 + P2 and the average revenue that the owner and contractor ear from non-collusion is respectively:

Through Malthusian replicator dynamic evolution equation, the replicator dynamic equations of χ and γ are respectively:

(4)
(5)

3.3.2. Solution & Analysis of Model

3.3.2.1. Analysis on Stable Strategies of Owner and Contractor

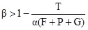
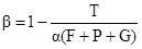
When , (only is established), formula (4) is 0, which indicates that all χs are in the stable state. When , if F(χ) = 0 it could be obtained that χ*1 = 0 and χ*2=1, which indicate two possible stable states. The evolution stability state of the owner and contract is analyzed according to the symbol of F(χ*). If , , , is the evolution stability, the owner and contractor shall choose non-collusion strategy. In case that , , , is the evolution stability state, then the owner and contractor shall choose collusion strategy.

3.3.2.2. Analysis on Governmental Stable Strategies

When , (only when is established), the formula (5) is 0, indicating all γs are the stable states. When , if F(γ) = 0, it can be obtained that γ*1 = 0 and γ*2 = 1, indicating two possible stability states. The evolution stability state of the contractor’s “no fraud” is analyzed according to the symbol of F(γ*).

If , , indicating the evolution stability. The government shall choose supervision strategy. If , , indicating the evolution stability state. The government shall choose non-supervision strategy.

To sum up the analysis of (4) and (5), it could be found that the larger Fj + C 0the smaller λ(Rj -Cj) +μ(Tc -Cc) the more possible the owner and contractor will choose collusion strategy during investment construction of rail transit project.

3.3.2.3. Analysis on Stable Strategies of Government, Owner and Contractor

The evolution of government, owner and contractor can be described through the system constituted by (4) and (5). This system has five equilibrium points: (0, 0), (0, 1), (1, 1), (1, 0) and (χD, YD). According to the methods proposed by Friedman (1998), the evolutionary stable strategy of differential equation can be obtained through stability analysis on Jacobi matrix [14]. If the equation set is constituted by (4) and (5), its Jacobi matrix J is:

Det and trace of matrix and J are respectively:

det J = χγ(χ + γ + χγ)[λ(Rj - Cj + μ(Tc - Cc)]2 + (1 - 2χ)(1 - 2γ)[(x + Cy)(Fγ + Co) + γCγ

tr J = (1 - 2χ)[-λγ(Rj - Cj) - μγ(Tc - Cc) + Fj + Co] + (1 - 2γ)[λχ (Rj - Cj) + μχ(Tc - Cc)- Cχ

According to the analysis on partial stability of Jacobi matrix, the stability analysis on five equilibrium points could be referred to the Table 2.

According to the evolutionary game theory, it satisfies the stable point of taking the equilibrium point det J>0, trJ <0 as the system. Through the Table 2, it could be found hat the stable point of government, owner and contractor depends on the symbol of Fj + C 0-Cγ. If Fj + C 0-Cγ>0, (1, 1) is the system’s evolutionary stable point; if Fj + C 0-Cγ<0, (0, 0) is the system’s evolutionary stable point. It thus can be found that there is game between government’s supervision or non-supervision and collusion or non-collusion adopted by the owner and contractor. Their expected value is adjusted respectively, thus the process of dynamic game showed in the curve S(χ,γ) is showed, which is formed by interweaving of collusion and non-collusion, supervision and non-supervision. When the owner and contractor gain high revenue from collusion strategy and the cost of governmental supervision is low, the owner and contractor will adopt collusion strategy and the government will adopt supervision strategy; when the owner and contractor gain lower revenue from collusion strategy and the cost of government supervision is high, the owner and contractor will adopt non-collusion strategy and the government will adopt non-collusion strategy. Under these two circumstances, the region F2F3F4F5 in Fig. (3a) can be defined as collusion-supervision area and F1F2F3F5 in Fig. (3b) as non-collusion-non-supervision area. The proportion of strategy choice is dependent on the location of the saddle point 5F. The larger the area of F2F3F4F5 in Fig. (3a) the larger proportion of the supervision strategy the government will adopt and the collusion strategy the owner and contractor will adopt; the larger the area of F1F2F3F5 in Fig. (3b) the larger the proportion of the non-collusion strategy the government will adopt and the non-collusion strategy the owner and contract will adopt.

Table 3.

Stability analysis on equilibrium point.

Equilibrium Point det J Symbol tr J Symbol Result
(0,0) Cy (Fj + C 0) + Fj + C 0-Cy    
(0,1) -Cy (Fj +C 0+1) - Fj + C 0+Cy -γ(Rj-Cj) -μ(Tc-Cc)   Instability
(1,0) -(1 +Cy)(Fj + C 0) - λ(Rj-Cj) +μ(Tc -Cc) -Fj - C 0-Cy   Instability
(1,1) 3x[λ(Rj-Cj +μ(Tc -Cc) + Cy -Fj - C 0    
(χD, YL)       0   Saddle Point
Fig. (3).

Evolution phase diagram of collusion behaviors of owner and contractor.

CONCLUSION

The probability for the construction to conduct strict examination is negatively correlated to the cost of governmental supervision and the government’s punishment for the contractor due to its fraudulent conducts and for the owner due to its fail in conducting strict examination. Even if under the circumstance that other conditions are not changed, the lower the cost of the governmental supervision the heavier the government’s punishment for the owner due to its due diligence and the larger probability for the owner to conduct extract examination. Therefore, reduction in the cost of governmental supervision and increase in supervision efficiency could enhance the probability for the owner to conduct strict examination to a certain extent. It also significantly manifests the construction of resource-conserving society and high-efficiency government. Simultaneously, it is very important to build efficient governmental supervision restrain and incentive mechanism and ban goldbricking behavior of the owner. For rail transportation construction, local government should not only guarantee the investment but also set up supporting policy to urban rail transportation companies. For example, to allow these companies to make use of the profit made from the land development along the metro line, for the metro construction fund; And to allow these companies make use of government credit as budget cash flow for the basis of rail transportation project financing.

The probability for the contractor to conduct fraudulent conducts is positively correlated to the losses caused to the owner through strict examination and fraudulent conducts. That is, the higher the cost of owner to conduct examination the less unwilling it will be to conduct strict examination and the larger probability for the contract to adopt fraudulent conducts. To solve the increasingly high examination cost of the owner, the owner is advised to introduce third-party cost consultation institution. If the cost consultation institution provides services about cost management of construction engineering as the entrusted intermediary, it not only can assist the government in playing the role in macro regulation but also can act as the consultant of the owner and contractor. The third-party cost consultation institution can share and reduce the examination cost of owner, thus the circumstance that the contractor adopt fraudulent conducts will be wiped out. Besides, it can provide overall-process cost management of urban rail transit project and provide professional support for the owner to make decisions and carry out management.

The probability for the governmental supervision is correlated to the revenue that the contractor gains through fraudulent conducts and the probability for the owner to conduct strict supervision, but irrelevant to the government’s punishment for the owner due to its due diligence.

There is game between government’s supervision and non-supervision and collusion & non-collusion adopted by the owner and contractor. Their expected value is adjusted respectively. When the revenue that the owner and contract gain through collusion strategy is and the cost of the governmental supervision is low, the owner and contractor shall adopt collusion strategy and the government shall adopt supervision strategy. When the revenue that the owner and contractor gain through collusion strategy is low and the cost of the governmental supervision is high, the owner and contractor should not adopt collusion strategy and the government should adopt non-collusion strategy.

CONFLICT OF INTEREST

The authors confirm that this article content has no conflict of interest.

ACKNOWLEDGEMENTS

This work is supported by the foundation of research program of Guangzhou Metro Corporation. The authors would like to thank the Editor-in-Chief, and the two anonymous reviewers for their insightful comments and suggestions that have significantly improved the paper.

REFERENCES

1
Ye F. Introduction to development status of urban rail transit market in china. China City Metro 2015; 57: 13-7.
2
Yuan LL, Wang YS, Yao C, Sun Y. Analyzing influencing factors of financing decision for urban rail transit projects using DEMATEL approach. Open Construction and Building Technology Journal 2015; 9: 255-61.
3
Ariane LM, Konstantin S. Collusive market sharing and corruption in procurement. Journal of Economics & Management Strategy 2006; 4: 883-908.
4
Yang YH. Game analysis on collusion of owners and other parties over large-scale infrastructure engineering project. Journal of Industrial Engineering and Engineering Management 2006; 2: 126-9.
5
Zhang CY. Game analysis on collusion & supervision of agent & contractor in governmental investment project. Journal of Jiaxing University 2010; 23(1): 74-9.
6
Wu GD. Study on collusion behaviors of construction project agent based on evolutionary game In: 8th Annual Meeting of Chinese Management-Management & Decision Science Parallel Session Memoir. 2014; pp. 54-62.
7
Li Y, Xue J. Study on governmental supervision mechanism in public-private cooperation model of urban infrastructure. Shanghai Economic Review 2015; 5: 72-8.
8
Cheng R, Han F, Zang SY. Problmes about power rent-seeking during tendering & bidding process of governmental investment project. Alliance PKU Management Consultants Ltd 2010; 12: 42-4.
9
Dong SL. Game analysis on ren-seeking behavior in governmental public investment. Statistic & Decision 2011; 17: 64-7. [in Chinese].
10
Hou L. Game analysis on governmental investment & public welfare construction projects. Journal of Industrial Engineering and Engineering Management 2011; 25(3): 323-7.
11
Yao Y, Guo ZD. Dynamic game study on supervision of governmental investment agent- construction system project. Journal of Industrial Engineering and Engineering Management 2014; 28(4): 52-6.
12
Le Y, Liu M, Li YK. Owner’s 'tunneling behavior' & supervision game in governmental investment construction project. China Civil Engineering Journa 2012; 25(2): 236-40. [in Chinese].
13
Shubik M. "Game Theory in the Social Sciences". Cambridge, Massachusetts: MIT Press 1982.
14
Friedman D. On economic applications of evolutionary game theory. J Evol Econ 1998; 8(1): 15-43.