All published articles of this journal are available on ScienceDirect.
Limit Analysis for Unilateral Masonry-like Structures
Abstract
This paper is devoted to the application of unilateral models to the stress analysis of masonry structures. Some 2d applications of what we can call the simplified masonry-like model for masonry, are discussed and studied. The results here presented demonstrate that the unilateral model for masonry can be a useful tool for modeling real masonry structures. The main technique here employed for applying the No-Tension model to structures is the systematic use of singular stress and strain fields within the frame set by the theorems of Limit Analysis. A number of simple examples is discussed to illustrate the method.
1. INTRODUCTION
The present work is concerned with the application of the theorems of Limit Analysis to unilateral masonry-like structures. The unilateral model for masonry, that, though in a mathematically unconscious way, has been around since the nineteenth century (see Moseley [1]), was first rationally introduced by Heyman in [2] and divulgated and extended in Italy, thanks to the effort of Salvatore Di Pasquale [3] and other members of the Italian school of Structural Mechanics, such as the Romano brothers [4], Baratta [5], Del Piero [6], Como [7], Angelillo [8], Angelillo & Giliberti [9-11], and Angelillo & Olivito [10]. The analysis of masonry-like materials can be conducted within the frame of limit analysis, specifically by applying the static and kinematic theorems on the basis of admissible stress and strain fields (see [12]). Here we focus on the static theorem, the main tool being represented in 2d by statically admissible singular stress fields, in the form of line Dirac deltas applied on material lines. The support of these Dirac deltas can be interpreted an internal bars/arches.
If such a structure can be created inside the masonry and it is compressed, then the masonry body is safe through which the safety of the structure can be assessed. The use of singular stress fields for the problem of equilibrium of masonry-like, No-Tension materials in 2d, has been recently introduced by Silhavi et al. [13] in and applied to a reinforcement problem by De Faveri et al. in [14]. Here we propose a simple method based on a stress function formulation, from which both the shape of the structure and the force field inside it, are easily generated. The use of folded stress functions for describing singular stress fields in elastic bodies was first introduced in Fraternali et al. [15] .
The general organization of the paper is as follows. Sections 2 is concerned with some basic notions concerning singular stress and strain. In Section 3 we formulate the Boundary Value Problem (BVP) for unilateral masonry materials modelled as Rigid No-Tension (RNT) materials, that is unilateral materials for which the latent strains (fractures) satisfy a normality condition with respect to the admissible stresses. The first tool that can be introduced for applying the unilateral No-Tension model to masonry structures is the systematic use of singular stress and strain fields, within the framework defined by the two theorems of Limit Analysis [16, 17]. In the final section a number of simple examples are presented as illustration of the method.
2. PRELIMINARIES ON SINGULAR STRESS AND STRAIN FIELDS
In this section the main notation and the basic notions of equilibrium and compatibility, in presence of singular stress and strain fields, are introduced. Singular strains are usually considered in perfect plasticity, and the use of singular stress fields (though in a mathematically unconscious way) has been around since the nineteenth century (see [18]). The use of singular equilibrated stresses for approximating plane equilibrium problems can be traced to the work of Fraternali et al. [15], and for vaults to Block & Ochsendorf [19] and Fraternali [20]. It is only fairly recently that Silhavi et al. (see [13]), have put forward a rigorous mathematical formulation of stress field singularities for masonry-like materials. The formulation that is given here, instead, is rather informal and based mainly on geometrical arguments. The matter treated and analysed here is not entirely new. Much of what is reported, apart from the classical and more recent sources cited throughout the text, leans on a number of papers, by some of the present authors recently published, or under print. In particular, on the application of singular stress and strain to Limit Analysis [16, 17]; on numerical methods for unilateral materials [21]; and on vaults [22-25].
2.1. Load and Displacement Data
We consider a body, a domain Ω ϵ Rn (here n = 2), loaded by the given tractions s on the part ∂ΩN of the boundary, and subject to given displacements u on the complementary, constrained part of the boundary
We assume that the body undergoes displacements u such that the local deformations are so small that the infinitesimal strain E(u) is a proper strain measure.
2.2. Equilibrated Stress Fields, Regularity of T
A stress field T is said to be equilibrated with (s, b), if it satisfies the equilibrium equations:
![]() |
(1) |
and the traction boundary conditions:
![]() |
(2) |
n denoting the unit outward normal to ∂Ω.
For some rigid perfectly plastic materials (such as rigid unilateral materials), less regular and even singular stresses may be considered. In general, we admit that the stress can be decomposed into the sum of two (orthogonal) parts:
![]() |
(3) |
where
is absolutely continuous with respect to the area measure (that is
is a density per unit area) and
is the singular part.
In the examples, the analysis will be restricted to bounded measures
whose singular part is concentrated on a finite number of regular arcs, that is bounded measures admitting on such curves a density
with respect to the length measure (that is special bounded measures with void Cantor part; for reference to these function spaces see [26]).
2.3. Compatible Displacement Fields, Regularity of u
The displacement field u is said to be compatible if, besides being regular enough for the corresponding (infinitesimal) strain E(u) to exist, satisfies the boundary conditions on the constrained part ∂ΩD of the boundary:
![]() |
(4) |
As for the stress, here we consider the (infinitesimal) strain for rigid perfectly plastic materials, less regular and even singular with respect to classical one. That is we consider strain that, in general, admit the decomposition by mean of sum of two (orthogonal) parts:
![]() |
(5) |
where
is absolutely continuous with respect to the area measure (that is
is a density per unit area) and
is the singular part.
has support on the union of a set of linear 1d measure (the jump set of u) and a set of fractional measure.
For simplicity, in the examples, we shall restrict to bounded measures
whose singular part is concentrated on a finite number of regular arcs, that are bounded measures applying on such curves a density
with respect to the length measure (that is special bounded measures with void Cantor part). For reference to such spaces and other issues connected with free discontinuities, the reader can consult the book by Ambrosio, Fusco, Pallara [26], and see the papers [27-29].
Remark 1. If u ϵ BD(Ω), that is u can be discontinuous, the b.c. u = u on ∂ΩD makes no sense. A way to keep alive the b.c. of Dirichelet type is to identify the masonry body rather than with the domain Ω (usually an open set) with the set Ω
∂.ΩD and to assume that u must comply with the constraint u = u, on the skin ΩD, and admitting possible singularities of the strain at the constrained boundary. Then, from here on, we shall deviate from standard notation referring to Ω as to the set Ω
∂ΩD.
2.4. Singular Stress and Strain as Line Dirac Deltas
Strain. In what follows, special displacement fields of bounded variation will be considered. In particular, restricting to discontinuous displacement fields u having finite discontinuities on a finite number of regular arcs Γ, the strain E(u) consists of a regular part Er , that is a diffuse deformation over Ω-Γ, and a singular part Es in the form of a line Dirac delta, concentrated on Γ.
The jumps of u along Γ, can be interpreted as fractures. Consider a crack separating the body Ω into two parts,
, along a straight interface Γ, of tangent t and normal m. On such a line, the jump of u is defined as:
![]() |
(6) |
due to a relative translation of the two parts, is considered. Here u+ is the displacement on the side of Γ where m points.
The displacement field is a piecewise constant vector field, discontinuous across Γ. The jump of u across Γ can be decomposed into normal and tangential components:
![]() |
(7) |
Notice that, on any crack, incompenetrability of matter requires
(an unilateral restriction).
The strain E corresponding to the piecewise constant field u with a strong discontinuity on the line Γ, is zero everywhere on Ω-Γ and is singular across Γ:
![]() |
(8) |
Stress. If the stress field T is singular, say a Dirac delta on Γ, also the part of emerging on T can be Γ discontinuous. The unbalanced emerging stress:
![]() |
(9) |
in equilibrium, can be balanced by a stress concentrated on Γ (Fig. 1). Referring for notations to Fig. (1), the representation of the singular part Ts of T on Γ, is:
![]() |
(10) |
For equilibrium, calling p q the components of q in the tangential and normal directions, and denoting
the curvature of Γ, the following equations must hold
![]() |
(11) |
Therefore q must be zero if Γ is straight.

Stress singularity: forces acting on the curve Γ.
Kinks. Though the singularity lines Γ, for the stress T, that we consider are a.e. smooth, they can have kinks and multiple points. At such nodes the equilibrium of forces transmitted to the nodes must be satisfied; then if the node is inside the body and there are no concentrated external forces applied to the node there must be at least a triple junction.
Airy's Stress Function and Singular Stresses
In absence of body forces (b = 0), the equilibrium equations admit the following solution in terms of a scalar function F:
![]() |
(12) |
This is the general solution of the equilibrium equations, if the loads are self-balanced on any closed boundary delimiting Ω (see [30]).
The b.c.
, must be reformulated in terms of F. Denoting x(s) the parametrization of
with the arc length, the b.c. on F are:
![]() |
(13) |
in which dF/dv is the normal derivative of F at the boundary (that is the slope of F in the direction of n) and m(s), n(s) are the moment of contact and the axial force of contact produced by the tractions s(s), on a beam structure having the same shape of ∂Ω, and cut at the point s = 0. A simple example is shown in Fig. (2).

Square panel under uniform pressure: (a). Corresponding boundary value m(s): (b), and normal slope n(s): (c).
Regular and singular equilibrated stress fields can be derived by stress functions meeting the prescribed b.c. on F and dF/dv. A regular stress field is represented by a smooth F (see Fig. 3a), a singular stress field by a continuous but folded F (Fig. 3b). The projection of a fold of F on Ω is called folding line and is denoted Γ. On a fold of F, the second derivative of F, with respect to the normal m to the folding line Γ, is a Dirac delta with support on Γ. Therefore, along Γ the Hessian H (F) of the stress function F is a dyad of the form
![]() |
(14) |
ΔmF denoting the jump of slope of F in the direction of the normal m to Γ (see Fig. 3c). Recalling the Airy's relation, the corresponding singular part of the stress is:
![]() |
(15) |
where the axial contact force N is given by:
![]() |
(16) |

Square panel under uniform pressure. Smooth Airy’s stress function corresponding to a homogeneous pressure inside the body: (a); folded Airy’s function: (b); representation of the uniaxial and singular stress field corresponding to the folded Airy’s function: (c).
3. THE RNT MATERIAL
3.1. Constitutive Restrictions and Equilibrium Problem
It is assumed that the body Ω ϵ Rn (here n = 2), loaded by the given tractions s on the part ∂ΩN of the boundary, and subject to given displacements u on the complementary, constrained part of the boundary ∂ΩD, is in equilibrium under the action of such given surface displacements and tractions, besides body loads b and distortions E (the set of data being denoted: (u, E; s, b)), and undergoes small displacements u and strains E(u)1.
We point out again (see Remark 2) that here, the masonry structure is identified with the set: Ω
∂ΩD, i.e. it is considered closed on Ω∂D and open on the rest of the boundary.
We consider that the body Ω is composed of Rigid No-Tension material, that is the stress T is negative semidefinite
![]() |
(17) |
the effective strain E* = E (u) - E is positive semidefinite:
![]() |
(18) |
and the stress T does no work for the corresponding effective strain E*:
![]() |
(19) |
In order to avoid trivial incompatible loads (s, b), it is assumed that the tractions s satisfy the condition:
![]() |
(20) |
Notice that in the plane case (n = 2) conditions (17), (18), can be rewritten as:
![]() |
(21) |
![]() |
(22) |
3.2. Statically Admissible Stress Fields
An equilibrated stress field T (that is a stress field T balanced with the prescribed body forces b and the tractions s given on ∂ΩN satisfying the unilateral condition (17) (that is conditions (21)), is said statically admissible for a RNT body. The set of statically admissible stress fields is denoted
and is defined as follows:
![]() |
(23) |
(Ω) being a function space of convenient regularity. Since for RNT materials, discontinuous and even singular stress fields will be considered.
3.3. Fundamental Partition
To any statically admissible stress field T one can associate the following partition of the domain Ω = Ω
∂ΩD:
![]() |
(24) |
![]() |
(25) |
![]() |
(26) |
On introducing the spectral decomposition of T:
![]() |
(27) |
in Ω1 the stress is of biaxial compression, that is σ1 < 0, σ2 < 0, ; in Ω2 the stress is of uniaxial compression, that is T = σ k
k, σ < 0; Ω3 is inert.
Notice that the form and the regularity of these regions depend on the smoothness of T.
3.4. Concavity of the Airy's Stress Function
In absence of body forces, a statically admissible stress field can be expressed2 in terms of a scalar function F (called Airy's solution, see § 2.4).
The constraint (21), translated in terms of F, reads:
![]() |
(28) |
then the Hessian H(F) of F, is negative semidefinite and the stress function F must be concave. Therefore, in absence of body forces b, the equilibrium problem for a RNT material, can be formulated as the search of a concave function F, taking on the part ∂ΩD of the boundary, a specified value and a specified slope.
Example. As a simple example of an equilibrium problem, we consider the traction problem depicted in Fig.
(4a). Smooth and singular statically admissible stress fields can be easily derived from simple stress functions matching the given boundary data.
A smooth solution can be derived from the stress function (here L = 1 is assumed):
![]() |
(29) |
This F is a composite surface, flat in the region denoted Ω3 in Fig. (4c), and strictly concave in Ω1. The graph of such F is depicted in Fig. (4b). We leave to the reader to verify that the corresponding T is statically admissible, that is, that such T matches the boundary data and belongs to Sym-.

Wall beam under uniform transverse load: (a). Graph of the Airy’s stress function, corresponding to the smooth solution: (b). Domain partition and one of the families of compression lines corresponding to the smooth solution: (c).
A singular statically admissible stress field is derived from the stress function F depicted in Fig. (5a). F is a continuous non-smooth function: the surface F, making (concave) folds along the lines indicated with 3, 4, 5 in Fig. (5c), can be easily produced by prolongating the datum
with ruled surfaces having the prescribed slope
at the boundary. The intersections of the four ruled surfaces emanating from the boundary (see Fig. 5a) give the folding lines; the jump of slope orthogonal to the folding lines 3, 4, 5 of Fig. (5c), gives the value of the axial force along the line:
![]() |
(30) |
Since the fold is concave the jump of slope is negative, then:
![]() |
(31) |

Graph of the folded Airy’s function, showing the intersection of the generating surfaces: (a). Corresponding domain partition and principal lines of compression: (b). Support of the singular stress (solid lines 3, 4, 5): (c).
In Fig. (5b) the principal lines of uniaxial compression corresponding to the non smooth solution are reported. The unbalance of this uniaxial stress field across the segments 3, 4, 5 of Fig. (5c), is equilibrated by the compressive axial forces , transmitted by this sort of bar truss. The axial forces vary linearly along the bars; they give three balanced forces at the common end of the bars (the triple junction) and zero forces at the far ends.
3.5. Kinematically Admissible Displacement Fields
A compatible displacement field u, that is a displacement u matching the given displacements u on ∂ΩD for which (E (u) - E) ϵ Sym+, i.e. such that the effective strain satisfies the unilateral conditions (22), is said to be kinematically admissible for a RNT body.
The set of kinematically admissible displacement fields is denoted
and is defined as follows:
![]() |
(32) |
where Ω = Ω
∂ ΩD and
(Ω) is a function space of convenient regularity. Actually, as we shall see, we will need only to consider discontinuous functions u whose jump set is the union of a finite number of segments.
Examples. As a simple illustration of typical kinematical problems, we construct some admissible deformations for the two example problems reported in Fig. (6). In (a) the effect of a given settlement η of the right foot, is considered. In (b) the constraints are fixed and the effect of the distortion E = α ΔTI, due to the uniform, positive increment of temperature ΔT, applied to the right half of the strip, is studied.

Examples of kinematical problems. Wall loaded by uniform vertical load at the top and subjected to a given uniform settlement η of the right foot: (a). Masonry panel subject to uniform thermal expansion of the right half: (b).
A kinematically admissible displacement, compatible with the given settlement, is shown in Fig. (7a); in Fig. (7b, c) the strain components E11, E22 are graphically represented.
A kinematically admissible displacement for the second example is
![]() |
(33) |
![]() |
(34) |

Compatible solution for the problem of Fig. (6a): (a). Corresponding (singular) strain components: (b), (c).
The corresponding deformation and the strain components E11, E22 are graphically represented in Fig. (8). We leave to the reader to verify that the effective strain (E(u) - E) belongs to sym+3 and that the strain E, whose non-vanishing components are depicted in Figs. (8b, c), satisfy the compatibility conditions (22) in a generalized sense.
4. LIMIT ANALYSIS
We have seen in the preceding sections that, for RNT bodies, both force and displacement data are subject to compatibility conditions, that is the existence of a statically admissible stress field and the existence of a kinematically admissible displacement field, are subordinated to some necessary or sufficient conditions on the given data. Here we concentrate on necessary or sufficient conditions for the compatibility of a given set of loads (s, b), restricting to the case of zero kinematical data (u, E). The definition of safe, limit and collapse loads are given first, and the propositions defining the compatibility of the loads, that are essentially a special form of the theorems of Limit Analysis (LA), are then discussed.

Compatible solution for the problem of Fig. (7b): (a). Corresponding (singular) strain components: (b), (c).
4.1. Theorems of Limit Analysis
Recalling the definition of RNT materials, we can observe that the restrictions (18), (19) are equivalent to a rule of normality of the total strain to the cone of admissible stress states. Normality is the essential ingredient allowing for the application of the two theorems of Limit Analysis (see [31]). In order to avoid the possibility of trivial incompatible loads (and simplify the formulation of the two theorems), assumption (i.e. that the tractions s applied at the boundary are either compressive or zero) is made.
Admissible Fields
The rigorous proof of the two theorems of Limit Analysis requires to set the problem in proper functions spaces. For RNT materials it is appropriate and convenient to define the sets of statically admissible stress fields
and kinematically admissible displacement fields
, as follows
![]() |
(35) |
![]() |
(36) |
where a convenient choice for the function spaces
(Ω) and
(Ω) is:
![]() |
(37) |
SMF being the set of Special Measures (that is measures with null Cantor part) whose jump set is finite, in the sense that the support of their singular part consists of a finite number of regular (n - 1) d arcs4.
With SMF* we denote the subset of SMF for which the support of the singular part is restricted to a finite number of d (n - 1) segments.
Notice that, depending on the geometry of the structure Ω = Ω
∂ΩN and on the given loads, the set
can be void. If
is void the load (s, b) is incompatible, in the sense previously specified (no possibility of equilibrium with purely compressive stresses).
Strictly Admissible Stress Fields and Load Classification
In order to formulate the theorems of Limit Analysis, we need to introduce the following definitions.
On denoting
the work of the load
for the displacement u, the load can be classified as follows:
![]() |
(38) |
![]() |
(39) |
![]() |
(40) |
We also now introduce a useful definition. A stress field T
such that tr T < 0 and det T > 0,
is said to be strictly admissible.
Notice that, if T is strictly admissible, then at each point of Ω (that is the open set Ω to which the fixed part of the boundary ∂ΩD is added) it results:
![]() |
(41) |
σ1, σ2 being the eigenvalues of T at the point x.
Kinematic Theorem
If
is a collapse load (in the sense of item (1) above) then
is void.
Static Theorem
If a strictly admissible stress field T exists, then the load
is safe (in the sense of item (3) above).
Limit Theorem
If
is not void and there exists
then the load
is limit (in the sense of item (2) above).
For the proof of these theorems we refer to the paper [31]. The reader must be warned that the proofs given by Del Piero refer to a similar function space for the displacement but to a different functional setting for the stress (namely L2 (Ω)). In the present paper we assume that these theorem are still valid in the present larger setting for the stress and smaller setting for the displacement5.
5. SIMPLE APPLICATIONS OF THE THEOREMS OF LIMIT ANALYSIS
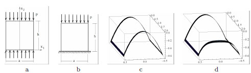
5.1. Example 0. Compressed Wall/Pier
The first simple example we consider, is concerned with an elementary problem for which regular stress fields can be derived from the stress function formulation. The example shows the effect that a slight change of boundary conditions, can have on the problem. The two simple BVP depicted in Fig. (9) are considered. The first one (Fig. 9a) refers to a rectangular wall compressed at the two bases by uniform normal tractions. The second example (Fig. 9b) is the same wall compressed at the top base by a uniform pressure load and fixed at the bottom base. By employing the Airy's representation and by using the static and kinematic theorems, it can be shown that in case (a) the load is limit and in the second case the load is safe.

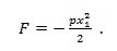
Compressed pier (wall). Pure traction problem: (a), Mixed problem: (b). Corresponding data for F and dF/v for the two cases.
The data for F and dF/dv at the boundary, in case (a), are shown in Fig. (9c). In this case the only concave surface that can possibly satisfy the data shown in Fig. (9c) is the parabolic cylinder defined by:
![]() |
(42) |
The uniqueness of this F can be proved by observing that the surface defined by it coincides with the upper part of the convex hull of the curve carrying the boundary datum for F. The properties of minimality of the convex hull ensure the uniqueness of F and of the corresponding stress (see [20]), that is of the uniform uniaxial stress:
![]() |
(43) |
Since this is the only statically admissible stress field,
is a singleton and we can say that the structure, with this load, is statically determined (see Remark 4). Note that based on the definition (3) mentioned above and on the theorems of LA, the load is not safe. It is actually limit (see Limit Theorem above) since by splitting the panel into two parts along any vertical line Γ with a normal crack, the strain corresponding to this mechanism is a horizontal uniaxial Dirac delta whose intensity has the value of the displacement jump along Γ: the work of the load for this non-zero mechanism is zero. Note that the strain corresponding to this mechanism and the unique statically admissible stress field are reconcilable in the sense of condition (19), that is they represent a possible solution for the BVP. The fact that, under these conditions, strain can increase indefinitely at constant load, is a typical feature of limit loads.
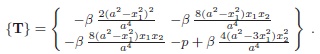
In case (b) the previous stress function can be corrected by adding a term to it. Note that the boundary is loaded only on the lateral sides and on the top base (with the same load of case (a)), and that both the value and the slope of the stress function can be modified along the bottom base of the panel (see Fig. 9d). The simplest correction with polinomia one can think of, is
![]() |
(44) |
The corresponding stress is:
![]() |
(45) |
The trace and the determinant of T are then:
![]() |
(46) |
![]() |
(47) |
If h
then tr T is always negative. If
a (IN SLANTED CHARACTER), then tr T is negative on Ω if:
![]() |
(48) |
and det T is positive on Ω if:
![]() |
(49) |
Then T is negative definite on Ω, and the load is safe, on the basis of the Static Theorem of LA, if the second inequality holds. For example, for a square panel, if one takes
, then the stress given by the above expression is strictly admissible and the load is safe. In Fig. (10) the stress functions employed for cases (a) and (b) are shown side by side for comparison, in the special case h = 2a, and putting for case (b),
.

Compressed pier (slender wall): in (a) Airy’s stress function for the traction problem. In (b) Airy’s stress function adopted for the mixed case.
Notice that the negative definiteness of T in case (b) is not uniform, since on the lateral sides we must have det T = 0 and one of the two eigenvalues of T must tend to zero as that part of the boundary is approached.
Remark 6 The bounds found on β give values of β vanishingly small with respect to p, as the ratio h/a increases; if one takes β/p as a sort of measure of the safety level of the load with respect to collapse: then slender walls, under this kind of loading, tend to become less and less safe, as the ratio h/a is increased.
Remark 7 It is worth pointing out that the existence of a strictly admissible stress field does not imply that the actual state of stress in the body be of biaxial compression. If the material is rigid in compression, any statically admissible stress has the same dignity and is theoretically admissible for equilibrium.
The choice among these fields require the introduction of more advanced constitutive restrictions, allowing for shortening strains (see [21]). When elasticity is assumed it occurs that s.a. stress fields which are not strictly admissible are preferable, on an energetic ground, to strictly admissible ones. Therefore, the material exhibits both biaxial and uniaxial stresses states (and fractures) despite the existence of a strictly admissible stress field.

In (a) Airy’s folded stress function for the mixed problem represented in Fig. (9b). In (b) a scheme of the corresponding stress is reported.
5.2. Example 1. Singular Stress Applications
As a very first elementary application of singular stress fields to limit analysis, we consider three simple examples concerning plane cases: the first one regarding a rectangular panel of RNT material and the other two a rectangular reinforced concrete beam subject to a distributed transverse load. In the last two examples the concrete is considered as NRT and the reinforcements as 1d fibers carrying tensile loads. For the three examples, statically admissible stress fields in Fig. (11) a singular stress solution for the mixed BVP of Fig. (9b) is constructed from a folded Airy's stress function. In Fig. (12) such singular stress solution, which corresponds to a statically admissible stress field is smoothed out Fig. (12c), producing a strictly statically admissible stress field are constructed, then this is a proof that the load is either safe or limit, in the sense of the above definitions.
In the example of Fig. (13a) there is a panel rigidly supported at the bottom base and subject to a vertical force at the center of the upper base. Two statically admissible stress fields of pure compression are shown. On the left a regular state, consisting of a fan of uniaxial compressive stresses is considered. On the right a singular solution for which a constant stress is concentrated along the center line is represented. As we observed before, we may think of the support of the singular stress inside the panel as a 1d bar carrying an axial force. In the mathematical terminology such a stress is a line Dirac delta with support on the center line. Such singular stress is a special bounded measure, that is a summable distribution.

Smoothing of the folded stress function of Fig. (11). Sections of the folded surface and its smoothed transformation at x2 = 0: (a); the section of the parabolic cylinder corresponding to the solution of the traction problem is reported for reference. In (b), (c) a 3d view of the folded and smoothed surfaces is shown.

Examples of singular stress fields. Singular (right) and regular (left) statically admissible stress fields, corresponding to a concentrated load applied at a point on the boundary: (a). Singular stress inside a reinforced concrete beam: (b), (c). Uniaxial stresses emanate form the upper boundary, concentrated compressive stresses have support on the curved lines (represented by a double line in the pictures), tensile concentrated stresses have support on the solid straight line at the bottom (the rebar). Below the curved lines the stress is zero.
A second simple, but interesting, example is reported in Fig. (13b). The example is concerned with a rectangular panel loaded by a uniform load at the upper base, supported by two vertical forces at two points on the lower base, and representing a concrete beam, reinforced by a lower straight rebar and with no stirrups. In the statically admissible stress field that is depicted in Fig. (13b) the reinforcing steel, simulated as a 1d straight fiber, carries a singular stress, that is a concentrated, uniform, tensile, axial force; the stress field in the concrete consists of of a singular part, represented by a concentrated, compressive, axial force, applied on a curved arch, and a regular part, represented by vertical uniaxial stresses located above the arch.
In the third example, reported in Fig. (13c), the same rectangular panel loaded by a uniform load at the upper base, and supported by two vertical forces at two points on the lower base, again reinforced by a lower straight rebar, is also reinforced by equally spaced stirrups. In the statically admissible stress field that is depicted in Fig. (13c) the reinforcing lower rebar simulated as a 1d straight fiber, carries a singular stress, that is a concentrated tensile axial force, which, in this case, is piecewise constant in between the stirrups. The stress field in the concrete, instead, consists of of a singular part, represented by a concentrated, compressive, axial force, applied on a set of curved arches, which form in between the stirrups, and carry the load transmitted to them by the regular part of the stress (represented by vertical uniaxial stresses located above the arches).
5.3. Example 2. Lintel Under Vertical and Horizontal Loads
A rectangular wall beam, supported at the bottom corners A,B, submitted to vertical and horizontal loads applied along its top edge, is shown in Fig. (14a) to which we refer for notations. This element can be representative of lintels, that is the transverse structures connecting the piers in masonry portals or in sequences of arches, when the effect of the loads transmitted to the arch from other parts of the structure, prevails on the self load, and the diffuse effect of body forces can be neglected.
The lintel's lower edge is actually often curved (see Fig. (14a)), this feature is a kind of a stress state that we wish to consider in the element, as we shall see below. We point out that the presence of this arched intrados is necessary for equilibrium, if the effect of vertical body forces are considered.
We formulate the equilibrium problem of the lintel as follows.
The loads acting on Ω consists of a distributed load q, applied along the top edge of Ω and having two components {q1, q2} in the reference reported in Fig. (14a). The supports A, B reacts with two forces RA, RB whose components are denoted {H(A),-V(A)}, {-H(B),-V(B)}; the lateral and the lower edges are unloaded.
Restricting to at most uniaxial stress fields and denoting g = q1/q2 the slope of the applied load with respect to x2=y, the stress field, in the upper part of the domain, is a uniaxial field in the direction of the compression rays emanating from the top edge, whose slope with respect to x2 is g. Calling
the length along the (straight) top edge of the domain, measured from O, we also assume that the slope g is so restricted:
![]() |
(50) |
that is, the initial and final slopes are zero (then the two extreme compression rays run along the lateral edges), and the compression rays are extended from base to base and do not cross each other inside the rectangle enclosing Ω.
The stress field in the lower part of the domain is zero. The upper and the lower regions are separated by a common boundary Γ, passing through A and B, that is parametrized in terms of
as follows:
![]() |
(51) |
carrying a concentrated axial force.
We denote H and V the horizontal and vertical components of the axial contact force N, arising on Γ in order to equilibrate the stress jump 8. By imposing the equilibrium of the piece
of Ω represented in Fig. (14a), the following set of differential equations is obtained.

Lintel loaded by vertical and horizontal forces. Geometry of the panel: (a). Forces acting on the panel, compression rays and arch: (b). Horizontal and vertical load for two special cases (c, e) and the corresponding equilibrium solutions (d, f).
![]() |
(52) |
to be solved for H, V, y with the boundary conditions:
![]() |
(53) |
being an unknown position along the upper edge. In the special case in which the horizontal and vertical loads have the form that is the vertical load is uniform, the horizontal load is parabolic, and the horizontal load resultant is half of the vertical resultant, the solution is:
![]() |
(54) |
![]() |
(55) |
![]() |
(56) |
![]() |
(57) |
where,
![]() |
(58) |
![]() |
(59) |
The solution of this special case for
is reported in Fig. (14).
CONCLUSION AND FUTURE WORK
In the present paper, the Theorems of Limit Analysis for structures composed of Rigid No-Tension material are formulated and applied to some simple examples.
The novelty of the approach we propose resides in the systematic use of singular stress and strain fields. Singular strains allow to consider mechanisms of rigid blocks in unilateral contact, singular stresses, consisting in concentrated stresses with support on 1d structures, render easy to find equilibrated stress fields of pure compression.
The use of the Airy's stress formulation is also introduced to facilitate the generation of statically admissible stress fields.
The scope of this comprehensive introduction to Limit Analysis for masonry is not purely academic since the tools introduced here could be implemented to construct computer codes for the structural analysis of masonry.
This is the current main activity of the authors of this paper.
NOTES
CONFLICT OF INTEREST
The authors confirm that this article content has no conflict of interest.
ACKNOWLEDGEMENTS
Declared none.